Administration and Management College King Mongkut’s Institude of Technology Ladkrabang

  • หน้าแรก
  • แนะนำคณะ
    • ประวัติคณะ
    • ประกาศและมติที่ประชุม
    • เกี่ยวกับคณะ
    • นโยบายของคณะ
    • จรรยาบรรณสถาบันฯ
    • แผนกลยุทธ์
      • แผนกลยุทธ์สถาบันฯ
      • แผนกลยุทธ์คณะการบริหารและจัดการ
      • คำรับรอง
    • บุคลากรของคณะ
    • วีดีทัศน์แนะนำคณะ
  • หลักสูตร
    • ปริญญาตรี
      • หลักสูตรบริหารธุรกิจบัณฑิต
      • หลักสูตรบริหารธุรกิจบัณฑิต (หลักสูตรนานาชาติ)
      • หลักสูตรเศรษฐศาสตร์ธุรกิจและการจัดการ
    • ปริญญาโท
      • หลักสูตรบริหารธุรกิจมหาบัณฑิต
      • หลักสูตร บริหารธุรกิจมหาบัณฑิต สาขาวิชาการจัดการกีฬา สื่อและบันเทิง
      • หลักสูตร บริหารธุรกิจมหาบัณฑิต สาขาวิชาบริหารธุรกิจอุตสาหกรรม
    • ปริญญาเอก
      • หลักสูตรนานาชาติ-ปรัชญาดุษฎีบัณฑิตบริหาร
  • งานวิจัย
    • งานวิจัยวิทยาลัย
      • ประกาศ/ข่าววิจัย
      • ระเบียบและประกาศงานวิจัย
      • คู่มือและแบบฟอร์มงานวิจัย
      • ข้อมูลการวิจัยของวิทยาลัย
      • การทำวิจัยร่วมกับนักวิจัยต่างประเทศ(วช.)
    • งานวิจัยของนักศึกษา
      • ปริญญาตรี - แขนงบริหารธุรกิจเกษตร
      • ปริญญาตรี - แขนงบริหารเทคโนโลยี
      • ปริญญาตรี - แขนงบริหารธุรกิจอุตสาหกรรม
      • ปริญญาโท - สาขาบริหารธุรกิจ
      • ปริญญาโท - สาขาบริหารธุรกิจเกษตรและอุตสาหกรรมอาหาร
      • ปริญญาโท - สาขาบริหารธุรกิจอุตสาหกรรม
      • ปริญญาเอก - สาขาบริหารธุรกิจอุตสาหกรรม
  • วารสาร
    • แบบฟอร์ม
  • รับสมัคร
    • งานประชุมวิชาการ
      • หลักการและเหตุผล
      • กำหนดการ
      • รูปแบบ paper
      • ลงทะเบียน
      • ผู้เข้าร่วมงาน
  • log In
    • login

      forgotten your password

    • ข้อมูลส่วนตัว
    • ออกจากระบบ
  • Youtube
  • RSS
  • twitter
  • facebook
TH/EN
  • สำหรับนักศึกษา
    • แบบฟอร์มสำหรับนักศึกษา
  • ลิงค์ที่เกี่ยวข้อง
    • ลิงค์อื่นๆ
    • ลิงค์ภายในสถาบัน
  • งานประชาสัมพันธ์และบริการวิชาการ
    • คณะกรรมการ
    • กิจกรรม
    • เอกสารและคู่มือ
  • สื่อการเรียนการสอน
    • แผนการศึกษาปี 2554
    • AMC E-Learning
  • ระบบการจัดการความรู้
    • คณะกรรมการ
    • ลิงค์ที่เกี่ยวข้อง
    • เอกสารและคู่มือ
  • งานประกันคุณภาพ
    • คณะกรรมการระดับวิทยาลัย
    • คณะกรรมการตามองค์ประกอบ
    • เอกสารและคู่มือ
    • รายการประเมินตนเอง(SAR)
    • นโยบาย

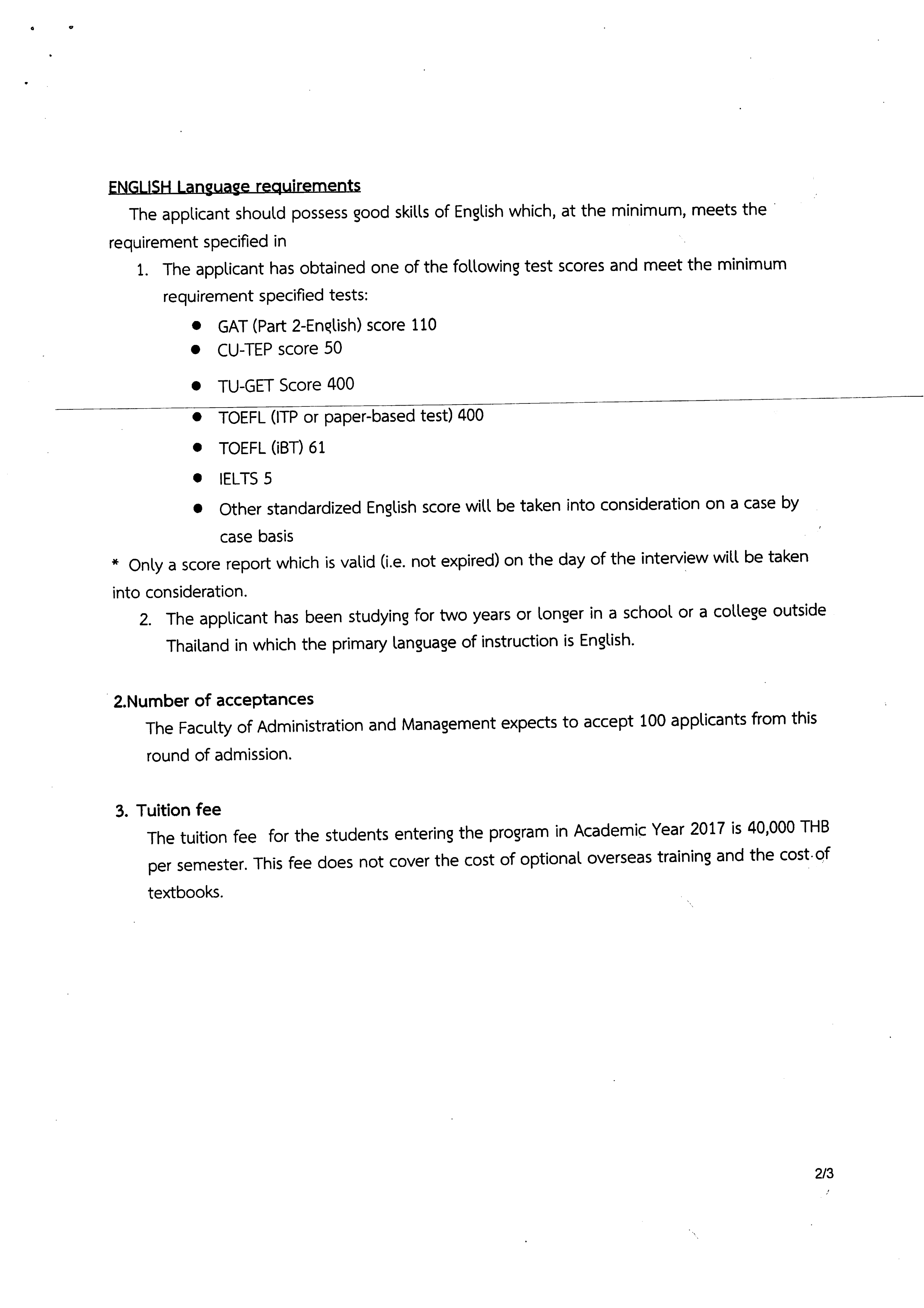
Announcement of Quota Admission Bachelor of Business Administration (International Program)

บทความที่เกี่ยวข้อง

  • ประกาศ รับสมัครบุคคลเพื่อคัดเลือกเป็นพนักงานสถาบัน ตำแหน่งอาจารย์

    12 ก.ค. 2560

  • Announcement: KMITL – ASEAN Postgraduate Scholarship 2017 in Doctor of Philosophy in Industrial Business Administration (INTERVIEW SESSION)

    23 มิ.ย. 2560

  • Announcement: KMITL – ASEAN Postgraduate Scholarship 2017 in Master of Business Administration in Industrial Business Administration (INTERVIEW SESSION)

    23 มิ.ย. 2560

  • ประกาศ ทุนการศึกษาระดับปริญญาโท

    14 มิ.ย. 2560

  • ประกาศ ทุนการศึกษาระดับปริญญาเอก

    14 มิ.ย. 2560

  • ประกาศ รับสมัครบุคคลเพื่อคัดเลือกเป็นพนักงานสถาบัน ตำแหน่งอาจารย์

    23 พ.ค. 2560

วิทยาลัยการบริหารและจัดการ สถาบันเทคโนโลยีพระจอมเกล้าเจ้าคุณทหารลาดกระบัง เลขที่ 1 ซอยฉลองกรุง 1 แขวงลาดกระบัง เขตลาดกระบัง กรุงเทพมหานคร 10520
โทรศัพท์ : 02-329-8459-60, 02-329-8000 โทรสาร : 02-329-8461 Email : amc.kmitl@hotmail.com เว็บไซต์เก่า